
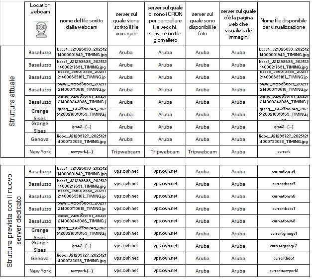
Ho mandato una mail al mio complice di webcam con questa tabella dove cerco di mettere ordine nel mio cervello. Poi gli ho scritto un WhatsApp dove gli anticipo che gli ho mandato una mail di importanza galattica e di vedere se a) capisce cosa voglio dire b) ho scritto delle solenni stronzate c) se eventualmente me la corregge e mi prepara per la migrazione, o quello che è.
Ha risposto al mio WhatsApp dicendo che era in una marina di un porticciolo del ponente ligure per l’installazione di una webcam come le mie, in streaming. Ma c’è un problema; la webcam andrebbe installata su un molo e dunque si vedono bene una serie di barche all’ormeggio. Problemi di privacy? Basta mettere un cartello di Legge e nominare un responsabile della conservazione delle immagini, dov’è il problema?
Il problema c’è in quanto pare – dico PARE – che il porticciolo sia utilizzato diffusamente come alcova dove a bordo delle barche salgono mignotte e si tengono festini, ossia orge con professioniste. Ma anche più semplicemente, le barche vengono usate come pied-a-terre dove si incontrano amanti ed avventure extra coniugali.
Il direttore del porticciolo in qualche modo è stato informato, oppure lo sa per esperienza diretta, che ci sarebbero diversi diportisti che assolutamente non gradirebbero una webcam proprio li.

Ho suggerito che le visitatrici clandestine siano vestite in modo da non poter essere riconociute e non dare nell’occhio. Un bel travestimento da T-Rex credo sarebbe perfetto. Nessuna moglie avrebbe il coraggio di contestare al marito “… mi spieghi chi cazzo era il T-rex che ho visto salire a bordo alle 21:35 dello scorso mercoledì‘?” per paura di essere presa per pazza visionaria. O forse lo ha già sgamato.


Una foto di Brignole della Mobotix. Restano tre Mobotix, una è già pronta ad essere sostituita, quella di Grange, la cui prossima destinazione è ancora ignota. Poi c’è quella di New York, fin che funziona resterà dove è adesso. Infine questa di Brignole. La sua installazione è specifica per questo tipo di Mobotix, quando smetterà di funzionare non sarà facilmente rimpiazzabile, ma ci dovrò provare in qualche modo.

